Chapter 7: Relations¶
一、关系的定义¶
-
二元关系的定义:集合 \(A、B\) 上的二元关系(Binary Relation) \(R\) 是笛卡尔乘积 \(A\times B\) 的一个子集;集合 \(A\) 上的二元关系是笛卡尔乘积 \(A\times A\) 的一个子集
-
二元关系的数量:具有 n 个元素的集合上共存在 \(2^{n^2}\) 个二元关系
-
定义域与值域:设关系 \(R\) 是从集合 \(A\) 到 \(B\) 的二元关系,则:
-
\(R\) 的定义域(Domain)
\(Dom(R)=\set{x\in A|(x,y)\in R\ for\ some\ y\in B}\)
-
\(R\) 的值域(Range)
\(Ran(R)=\set{y\in B|(x,y)\in R\ for\ some\ x\in A}\)
-
-
n 元关系的定义:令 \(A_1, A_2, …,A_n\) 都是集合,n 元关系为 \(A_1\times A_2\times …\times A_n\) 的一个子集,n 称为它的度(Degree)
-
复合关系的定义:设 \(R\) 是从集合 \(A\) 到 \(B\) 的关系, \(S\) 是从集合 \(B\) 到 \(C\) 的关系,则 \(R\) 和 \(S\) 的复合关系(Composite)定义为:
-
关系的幂的定义: \(R^1=R,\ R^{n+1}=R^n\circ R\)
-
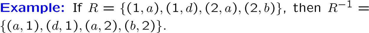
反关系的定义:设 \(R\) 是从集合 \(A\) 到 \(B\) 的关系,则 \(R\) 的反关系(Inverse) \(R^{-1}\) 是从集合 \(B\) 到 \(A\) 的关系,定义为:
\(R^{-1}=\set{(y,x)|(x,y)\in R}\)
二、关系的性质¶
1. 自反性 Reflexive¶
-
定义:设 \(R\) 是集合 \(A\) 上的关系
- \(R\) 是自反的(Reflexive) \(\Leftrightarrow \forall x\in A,(x,x)\in R\)
- \(R\) 是反自反的(Irreflexive) \(\Leftrightarrow \forall x\in A,(x,x)\notin R\)
Example
示例: \(R_{≤},R_=,R_|\) 具有自反性
-
性质
- \(R\) 是自反的 \(\Leftrightarrow R_=\subseteq R\)
- 具有 \(n\) 个元素的集合共存在 \(2^{n(n-1)}\) 个自反的关系
2. 对称性 Symmetric¶
-
定义:设 \(R\) 是集合 \(A\) 上的关系
-
\(R\) 是对称的(Symmetric)
\(\Leftrightarrow \forall x,y\in A,(x,y)\in R\Rightarrow (y,x)\in R\)
-
\(R\) 是反对称的(Antisymmetric)
\(\Leftrightarrow \forall x,y\in A,(x,y)\in R\ and\ (y,x)\in R \Rightarrow x=y\)
-
-
性质
- \(R\) 是对称的 \(\Leftrightarrow R^{-1}=R\)
- \(R\) 是反对称的 \(\Leftrightarrow R\cap R^{-1}\subseteq R_=\)
- 不对称不等同于反对称(例如 \(R_=\) 既是对称的,又是反对称的)
- 具有 \(n\) 个元素的集合共存在 \(2^n\times 2^{\frac{n(n-1)}{2}}=2^{\frac{n(n+1)}2}\) 个对称的关系
-
具有 \(n\) 个元素的集合共存在 \(2^n\times 3^{\frac{n(n-1)}2}\) 个反对称的关系
解释(反对称关系的数量)
- \(n\) 表示对角线上元素的个数,对角线上的每个元素 \(A\) 有 2 种情况:
- \((A,A)\in R\)
- \((A,A)\notin R\)
- \(\frac{n(n-1)}2\) 表示非对角线上元素的对数,非对角线上的每对元素 \((A,B)\) 有 3 种情况:
- \((A,B)\in R,(B,A)\notin R\)
- \((A,B)\notin R,(B,A)\in R\)
- \((A,B)\notin R,(B,A)\notin R\)
- \(n\) 表示对角线上元素的个数,对角线上的每个元素 \(A\) 有 2 种情况:
3. 传递性 Transitive¶
-
定义:设 \(R\) 是集合 \(A\) 上的关系,则 \(R\) 是传递的(Transitive)
\(\Leftrightarrow \forall x,y,z\in A((x,y)\in R \land (y,z)\in R)\Rightarrow (x,z)\in R\)
Example
示例: \(R_{≤},R_<,R_=,R_|,\subseteq\) 具有传递性
-
定理: \(R\) 具有传递性 \(\Leftrightarrow R^n\subseteq R\ for\ n=2,3,…\)
三、关系的表示¶
1. 使用矩阵表示关系¶
-
矩阵的定义
- 设 \(R\) 是从集合 \(A=\set{a_1,…,a_m}\) 到 \(B=\set{b_1,…,b_n}\)
- \(R\) 可使用矩阵 \(M_R=(m_{ij})_{m\times n}\) 表示
- 其中, \(m_{ij}=\begin{cases}1,当\ (a_i,b_j)\in R\\0,当\ (a_i,b_j)\notin R\end{cases}\)
Warning
这里的矩阵行与列与《线性代数》中相反
-
自反性、对称性、传递性的矩阵表示
- 自反性 \(\Leftrightarrow\) 主对角线上元素全为 1
- 对称性 \(\Leftrightarrow\) \(m_{ij}=m_{ji},\forall i,j\)
- 反对称性 \(\Leftrightarrow 若\ m_{ij}=1\ 且\ i\neq j\ 则\ m_{ji}=0\)
-
传递性 \(\Leftrightarrow 若\ C=M_R^2\ 中的\ c_{ij}\ 非零,则\ M_R\ 中的\ m_{ij}\ 也非零\)
(利用定理: \(R^2\subseteq R\))
-
复合关系的矩阵表示
- \(M_{S\circ R}=M_R⊙M_S\)
- \(⊙\) 运算表示布尔积,定义如下:
- \(0\land X=0,1\land 1=1\)
- \(1\lor X=1,0\lor 0=0\)
2. 使用图表示关系¶
- 有向图的定义
- 有向图(Directed Graphs,Digraphs) \(G=(V,E)\),包含节点(Vertex)集合 \(V\) 和有向边(Edge)集合 \(E\)
- 在边 \((a,b)\) 中, \(a\) 称为 Initial Vertex, \(b\) 称为 Terminal Vertex
- 形如 \((a,a)\) 的边称为 Loop
- 自反性、对称性的图表示
- 自反性 \(\Leftrightarrow\) 每个节点都存在 Loop
- 对称性 \(\Leftrightarrow\) 每条边都与一条与之方向相反的边成对出现(Loop 除外)
四、关系的闭包¶
1. 关系闭包的定义¶
- 定义:令 \(R\) 是集合 \(A\) 上的关系,若存在一个关系 \(S\) 满足以下条件,则称 \(S\) 为 \(R\) 的 \(P\) 闭包
- \(S\) 具有性质 \(P\)( \(P\) 为以下性质之一:自反性、对称性、传递性)
- \(R\subseteq S\)
- \(S\) 是任意满足前两条要求的集合 \(S'\) 的子集(保证 \(S\) 最小)
- 符号表示
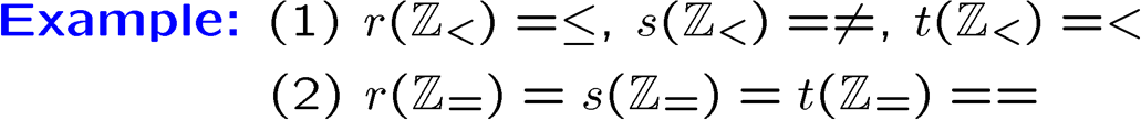
- \(R\) 的自反闭包: \(r(R)\)
- \(R\) 的对称闭包: \(s(R)\)
- \(R\) 的传递闭包: \(t(R)\)
2. 自反闭包、对称闭包的计算¶
令 \(R\) 是集合 \(A\) 上的关系
-
\(R\) 的自反闭包: \(r(R)=R\cup\Delta\)
其中, \(\Delta=\set{(a,a)|a\in A}\),称为 \(A\) 上的对角关系(Diagonal Relation)
-
\(R\) 的对称闭包: \(s(R)=R\cup R^{-1}\)
3. 传递闭包的计算¶
- 定义(路径与回路 Path)
- 在有向图 \(G\) 中,从 \(a\) 到 \(b\) 的路径(Path)是由一或多条边组成的序列 \((x_0,x_1),(x_1,x_2),…,(x_{n-1},x_n)\) ,其中 \(x_0=a,x_n=b\)
- 这样的路径长度为 \(n\),使用节点的序列 \(x_0,x_1,…,x_n\) 来描述
-
定理
令 \(R\) 是集合 \(A\) 上的关系,则有:
存在从 \(a\) 到 \(b\) ,长度为 \(n\) 的路径 \(\Leftrightarrow (a,b)\in R^n\)
-
定义(联通关系 Connectivity Relation)
\(R^*=\set{(a,b)|存在从\ a\ 到\ b\ 的路径}=\cup_{n=1}^\infin R^n\)
-
定理
关系 \(R\) 的传递闭包 \(t(R)=R^*\)
-
定理
- 令集合 \(A\) 包含 \(n\) 个元素, \(R\) 是 \(A\) 上的关系
- 若在 \(R\) 上存在从 \(a\) 到 \(b\) 的路径,则一定存在长度不超过 \(n\) 的这样的路径
- 若在 \(R\) 上存在从 \(a\) 到 \(b\) 的路径,且 \(a\neq b\) ,则一定存在长度不超过 \(n-1\) 的这样的路径
-
定理
令集合 \(A\) 包含 \(n\) 个元素, \(R\) 是 \(A\) 上的关系,则有:
- \(R^*=\cup_{i=1}^n R^i\)
- 令 \(M_R\) 是表示 \(R\) 的 0-1 矩阵,则 \(M_{R^*}=M_R\lor M_R^{[2]}\lor M_R^{[3]}\lor …\lor M_R^{[n]}\)
- 计算传递闭包的朴素算法
- 时间复杂度: \(O(n^4)\)
- 计算布尔幂 \(M_R,M_R^{[2]},…,M_R^{[n]}\),需要 \((n-1)n^2(2n-1)\) 次运算
- 计算 \(n-1\) 个 0-1 矩阵的并,需要 \((n-1)n^2\) 次运算
-
计算传递闭包的 Warshall 算法
-
基本原理
-
时间复杂度: \(O(n^3)\)
五、等价关系和等价类¶
1. 等价关系 Equivalence Relation¶
-
等价关系的定义
- 一个关系是等价关系,若它同时满足自反性、对称性、传递性
2. 等价类 Equivalence Class¶
-
等价类的定义
-
令 \(R:A\leftrightarrow A\) 是等价关系,对于任意 \(a\in A\), \(a\) 的等价类(Equivalence Class)是如下的集合:
\([a]_R=\set{x\in A|(x,a)\in R}\)
-
其中, \(a\) 称为该等价类的代表元(Representative of this equivalence class)
- 等价类的性质
- \(\forall a\in A,[a]_R\neq \emptyset\)
- \((a,b)\in R\Rightarrow [a]_R=[b]_R\)
- \((a,b)\notin R\Rightarrow [a]_R\cap [b]_R=\emptyset\)
- \(\cup_{a\in A}[a]_R=A\)
-
3. 商集 Quotient Set¶
-
商集的定义
-
集合 \(A\) 在关系 \(R\) 上的商集为 \(R\) 的所有等价类组成的集合
\(A/R=\set{[a]_R|a\in A}\)
-
-
商集的性质
- 如果 \(A\) 是有限集,则 \(A/R\) 也是有限集
- 如果 \(A\) 有 \(n\) 个元素,且每个等价类 \([a]_R\) 包含 \(m\) 个元素,则 \(m|n\),且 \(A/R\) 包含 \(n/m\) 个元素
4. 等价类的划分 Equivalence Class and Partitions¶
-
划分的定义
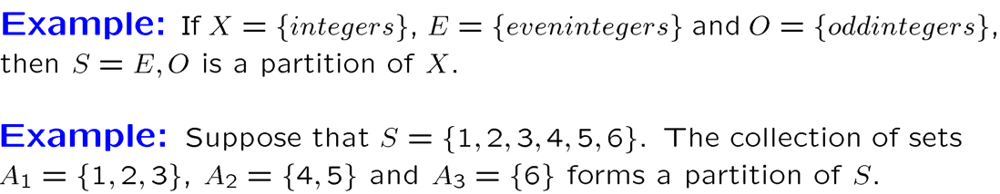
集合 \(S\) 上的划分 \(\pi\) 是 \(S\) 的一组子集 \(\set{A_1,A_2,…,A_n}\),并且满足:
- \(\cup_{k=1}^nA_k=S\)
- \(A_j\cap A_k=\emptyset\ (j\neq k)\)
-
定理
- 令 \(R\) 为集合 \(S\) 上的等价关系,则 \(R\) 的等价类构成 \(S\) 的一组划分
- 令 \(\set{A_i|i\in I}\) 为集合 \(S\) 的一组划分,则存在 \(S\) 上的等价关系 \(R\),使得每个 \(A_i\) 都是 \(R\) 的等价类
六、偏序 Partial Orderings¶
1. 偏序的定义¶
-
偏序
- 关系 \(R_\preceq :S\leftrightarrow S\) 称为偏序关系,如果它满足自反性、反对称性和传递性
- \(S\) 称为偏序集(poset),用 \((S,\preceq)\) 表示
- 可比性
- 可比的(Comparable):在偏序集中,若元素 \(a,b\) 满足 \(a≤b\) 或 \(b≤a\) 其中之一,则称 \(a,b\) 是可比的
- 不可比的(Incomparable):在偏序集中,若元素 \(a,b\) 不满足 \(a≤b\) 和 \(b≤a\),则称 \(a,b\) 是不可比的
- 全序集 Totally Ordered Set
- 若偏序集 \((S,\preceq)\) 中任意两个元素都是可比的,则称 \(S\) 为全序集(Totally Ordered Set)或线性序集(Linearly Ordered Set)或链(Chain),关系 \(\preceq\) 称为全序(Total Order)或线性序(Linear Order)
2. 字典序 Lexicographic Order¶
- 字典序(Lexicographic Order)是一种从多个偏序集构造新偏序集的方法
-
给定两个偏序集 \((A,\preceq),(B,\preceq)\),它们的笛卡尔乘积 \(A\times B\) 上的字典序定义为:
\((a_1, b_1) \prec (a_2, b_2) \iff \begin{cases} a_1 \prec_A a_2, & \text{或} \\ a_1 = a_2 \text{ 且 } b_1 \prec_B b_2. \end{cases}\)
3. Hasse 图¶
哈斯图是一种用于表示 有限集上的偏序关系 的简化图示方法,其构造步骤如下:
- 初始绘制偏序关系的有向图:每个元素为顶点,偏序关系为有向边
- 移除所有环:由于偏序是自反的,故移除这些环以简化图形
- 移除传递性导致的冗余边:若存在 a≤b 和 b≤c,则根据传递性必然有 a≤c;此时直接移除 a≤c 的边,保留最短路径
- 调整边方向并去除箭头:将每条边排列为初始顶点在下、终止顶点在上,并隐去箭头(默认方向向上)
最终得到的简化图称为哈斯图,它仅保留偏序关系的必要结构,但仍能完整反映原始偏序关系
4. 极值、最值、界、确界¶
令 \((A,\preceq)\) 是一个偏序集, \(B\subseteq A\)
- 极大元、极小元
- \(a\) 是 \(B\) 的极大元(Maximal Element): \(a\in B\) 且不存在 \(x\in B\) 使得 \(a\prec x\)
- \(a\) 是 \(B\) 的极小元(Minimal Element): \(a\in B\) 且不存在 \(x\in B\) 使得 \(x\prec a\)
- 最大元、最小元
- \(a\) 是 \(B\) 的最大元(Greatest Element): \(a\in B\) 且对任意 \(x\in B\) 有 \(x\prec a\)
- \(a\) 是 \(B\) 的最小元(Least Element): \(a\in B\) 且对任意 \(x\in B\) 有 \(a\prec x\)
- 上界、下界
- \(a\) 是 \(B\) 的上界(Upper Bound): \(a\in A\) 且对任意 \(x\in B\) 有 \(x\prec a\)
- \(a\) 是 \(B\) 的下界(Lower Bound): \(a\in A\) 且对任意 \(x\in B\) 有 \(a\prec x\)
- 上确界、下确界
- \(a\) 是 \(B\) 的上确界(Least Upper Bound): \(a\) 是 \(B\) 的上界,且对 \(B\) 的其它上界 \(x\),都有 \(a\preceq x\)
- \(a\) 是 \(B\) 的下确界(Greatest Lower Bound): \(a\) 是 \(B\) 的下界,且对 \(B\) 的其它下界 \(x\),都有 \(x\preceq b\)
辨析
- 极大元是局部概念,表示 “在该元素的可比范畴内,没有比它更大的元素” ,可以存在多个
- 最大元是全局概念,表示 “该元素与其它元素都可比,且它比所有元素都大”,可能不存在,最多存在一个
5. 良序集 Well-Ordered Set¶
- \((S,\preceq)\) 是一个良序集,若 \(\preceq\) 是一个全序,且每个 \(S\) 的非空子集都存在最小元
Example
\((\Z,≤)\) 不是一个良序集,因为不存在最小的负整数
6. 格 Lattices¶
- 一个偏序集称为 Lattice,若其中的每一对元素组成的集合都存在上确界和下确界
Example
示例:
偏序集 \((\set{1,2,3,4,5},|)\) 不是一个 Lattice,解释如下:
- 任取一对元素组成的集合 \(\set{2,3}\) ,若存在上确界,其值应当为它们的最小公倍数 6,而 6 不在集合 \(\set{1,2,3,4,5}\) 中,因此这一对元素组成的集合 \(\set{2,3}\) 不存在上确界


























